在计算机世界里“数据结构+算法=程序”,因此算法在程序开发中起着至关重要的作用。
目录
[TOC]
1. 初识算法#
1.1. 什么是算法?#
算法的定义:在数学和计算机科学领域,算法是一系列有限的严谨指令,通常用于解决一类特定问题或执行计算。
In mathematics and computer science, an algorithm (/ˈælɡərɪðəm/) is a finite sequence of rigorous instructions, typically used to solve a class of specific problems or to perform a computation.
– 参考文献:“Definition of ALGORITHM”. Merriam-Webster Online Dictionary. Archived from the original on February 14, 2020. Retrieved November 14, 2019.
Introduction to Algorithm(中文译作《算法导论》)
不正式的说,算法就是任何定义优良的计算过程:接收一些值作为输入,在有限的时间内,产生一些值作为输出。
Informally, an algorithm is any well-defined computational procedure that takes some value, or set of values, as input and produces some value, or set of values, as output in a finite amount of time.
1.2. 算法分类#
1.2.1. 排序算法#
一些常用的排序算法。
- 基数排序
- 冒泡排序
- 选择排序
- 归并排序
- 堆排序
- 快速排序
- 直接插入排序
- 希尔排序
- 拓扑排序
注:以下代码案例,存放在pyg-test工程中sort-test模块中
1.2.2. 逻辑处理算法#
2. 算法复杂度分析(整理中)#
算法复杂度分析是用于判断代码的执行性能好坏。包含以下两个内容:
Tips: 通常情况下说复杂度,都是指时间复杂度
2.1. 时间复杂度#
2.1.1. 常见复杂度表示形式#

速记口诀:常对幂指阶。越在上面的性能就越高,越往下性能就越低。下图是一些比较常见时间复杂度的时间与数据规模的趋势:

2.2. 空间复杂度#
空间复杂度全称是渐进空间复杂度,表示算法占用的额外存储空间与数据规模之间的增长关系。
3. 递归#
3.1. 递归概念#
递归,指在当前方法内调用自己的这种现象
3.2. 递归分类#
- 直接递归:方法A调用方法A。
- 间接递归:A 方法调用 B 方法,B 方法调用 C 方法,C 方法调用 A 方法。(间接递归实际开发中比较少用。)
3.3. 递归注意事项#
- 递归一定要有出口;要有结束递归的条件。
- 递归次数不能太多。
- 构造方法中不能使用递归。
递归算法:方法自身调用方法自身,必须有方法出口(可以结束方法的条件),递归次数不宜过多,会有 stackoverflow (栈内存溢出错误)。
3.4. 递归扩展知识#
递归是程序控制的另一种形式,实质上就是不用循环控制的重复
递归会产生相当大的系统开销,它耗费了太多时间并占用了太多的内存。有些本质上有递归特性的问题用其他方法很难解决。如果迭代能解决的方案,就使用迭代。迭代通常比递归效率更高
递归方法是一个直接或间接调用自己的方法。要终止一个递归方法,必须有一个或多个基础情况(程序出口)。
4. 基数排序#
4.1. 要点#
基数排序与本系列前面讲解的七种排序方法都不同,它不需要比较关键字的大小。
它是根据关键字中各位的值,通过对排序的N个元素进行若干趟“分配”与“收集”来实现排序的。
不妨通过一个具体的实例来展示一下,基数排序是如何进行的。 设有一个初始序列为: R {50, 123, 543, 187, 49, 30, 0, 2, 11, 100}。
我们知道,任何一个阿拉伯数,它的各个位数上的基数都是以09来表示的。所以我们不妨把09视为10个桶。
我们先根据序列的个位数的数字来进行分类,将其分到指定的桶中。例如:R[0] = 50,个位数上是0,将这个数存入编号为0的桶中。

分类后,我们在从各个桶中,将这些数按照从编号0到编号9的顺序依次将所有数取出来。这时,得到的序列就是个位数上呈递增趋势的序列。
按照个位数排序: {50, 30, 0, 100, 11, 2, 123, 543, 187, 49}。接下来,可以对十位数、百位数也按照这种方法进行排序,最后就能得到排序完成的序列。
4.2. LSD法实现(完整参考代码)#
1
2
3
4
5
6
7
8
9
10
11
12
13
14
15
16
17
18
19
20
21
22
23
24
25
26
27
28
29
30
31
32
33
34
35
36
37
38
39
40
41
42
43
44
45
46
47
48
49
50
51
52
53
54
55
56
57
58
59
60
61
62
63
64
65
66
67
68
69
70
71
72
73
74
| package com.moon.demo.sort;
/**
* 基数排序算法
*/
public class RadixSort {
// 获取x这个数的d位数上的数字
// 比如获取123的1位数,结果返回3
public int getDigit(int x, int d) {
int a[] = {1, 1, 10, 100}; // 本实例中的最大数是百位数,所以只要到100就可以了
return ((x / a[d]) % 10);
}
public void radixSort(int[] list, int begin, int end, int digit) {
final int radix = 10; // 基数
int i = 0, j = 0;
int[] count = new int[radix]; // 存放各个桶的数据统计个数
int[] bucket = new int[end - begin + 1];
// 按照从低位到高位的顺序执行排序过程
for (int d = 1; d <= digit; d++) {
// 置空各个桶的数据统计
for (i = 0; i < radix; i++) {
count[i] = 0;
}
// 统计各个桶将要装入的数据个数
for (i = begin; i <= end; i++) {
j = getDigit(list[i], d);
count[j]++;
}
// count[i]表示第i个桶的右边界索引
for (i = 1; i < radix; i++) {
count[i] = count[i] + count[i - 1];
}
// 将数据依次装入桶中
// 这里要从右向左扫描,保证排序稳定性
for (i = end; i >= begin; i--) {
j = getDigit(list[i], d);
// 求出关键码的第k位的数字, 例如:576的第3位是5
bucket[count[j] - 1] = list[i];
// 放入对应的桶中,count[j]-1是第j个桶的右边界索引
count[j]--; // 对应桶的装入数据索引减一
}
// 将已分配好的桶中数据再倒出来,此时已是对应当前位数有序的表
for (i = begin, j = 0; i <= end; i++, j++) {
list[i] = bucket[j];
}
}
}
public int[] sort(int[] list) {
radixSort(list, 0, list.length - 1, 3);
return list;
}
// 打印完整序列
public void printAll(int[] list) {
for (int value : list) {
System.out.print(value + "\t");
}
System.out.println();
}
public static void main(String[] args) {
int[] array = {50, 123, 543, 187, 49, 30, 0, 2, 11, 100};
RadixSort radix = new RadixSort();
System.out.print("排序前:\t\t");
radix.printAll(array);
radix.sort(array);
System.out.print("排序后:\t\t");
radix.printAll(array);
}
}
|
运行结果
排序前: 50 123 543 187 49 30 0 2 11 100
排序后: 0 2 11 30 49 50 100 123 187 543
4.3. 算法分析#
基数排序的性能

时间复杂度
通过上文可知,假设在基数排序中,r为基数,d为位数。则基数排序的时间复杂度为O(d(n+r))。我们可以看出,基数排序的效率和初始序列是否有序没有关联。
空间复杂度
在基数排序过程中,对于任何位数上的基数进行“装桶”操作时,都需要n+r个临时空间。
算法稳定性
在基数排序过程中,每次都是将当前位数上相同数值的元素统一“装桶”,并不需要交换位置。所以基数排序是稳定的算法。
5. 冒泡排序#
5.1. 冒泡排序介绍#
冒泡排序(Bubble Sort),又被称为气泡排序或泡沫排序。
它是一种较简单的排序算法。它会遍历若干次要排序的数列,每次遍历时,它都会从前往后依次的比较相邻两个数的大小;如果前者比后者大,则交换它们的位置。这样,一次遍历之后,最大的元素就在数列的末尾! 采用相同的方法再次遍历时,第二大的元素就被排列在最大元素之前。重复此操作,直到整个数列都有序为止!
原理:比较两个相邻的元素,将值大的元素交换至右端
5.2. 自己写的冒泡排序demo#
1
2
3
4
5
6
7
8
9
10
11
12
13
14
15
16
17
18
19
| import java.util.Arrays;
public class MoonZero {
public static void main(String[] args) {
int[] arr = { 6, 3, 8, 9, 2, 7 };
System.out.println(Arrays.toString(arr));
// 冒泡排序 升序排列,如果降序就将if的判断改在(arr[j]<arr[j+1])
for (int i = 0; i < arr.length - 1; i++) {
for (int j = 0; j + 1 < arr.length - i; j++) {
if (arr[j] > arr[j + 1]) {
int temp = arr[j];
arr[j] = arr[j + 1];
arr[j + 1] = temp;
}
}
}
System.out.println(Arrays.toString(arr));
}
}
|
5.3. 冒泡排序图文说明#
5.3.1. 冒泡排序实现一#
1
2
3
4
5
6
7
8
9
10
11
12
13
14
15
16
| public static void bubbleSort1(int[] a, int n) {
int i, j;
for (i = n - 1; i > 0; i--) {
// 将a[0...i]中最大的数据放在末尾
for (j = 0; j < i; j++) {
if (a[j] > a[j + 1]) {
// 交换a[j]和a[j+1]
int tmp = a[j];
a[j] = a[j + 1];
a[j + 1] = tmp;
}
}
}
}
|
下面以数列{20,40,30,10,60,50}为例,演示它的冒泡排序过程(如下图)。

先分析第1趟排序
- 当i=5,j=0时,a[0]<a[1]。此时,不做任何处理!
- 当i=5,j=1时,a[1]>a[2]。此时,交换a[1]和a[2]的值;交换之后,a[1]=30,a[2]=40。
- 当i=5,j=2时,a[2]>a[3]。此时,交换a[2]和a[3]的值;交换之后,a[2]=10,a[3]=40。
- 当i=5,j=3时,a[3]<a[4]。此时,不做任何处理!
- 当i=5,j=4时,a[4]>a[5]。此时,交换a[4]和a[5]的值;交换之后,a[4]=50,a[3]=60。
于是,第1趟排序完之后,数列{20,40,30,10,60,50}变成了{20,30,10,40,50,60}。此时,数列末尾的值最大。
根据这种方法:
- 第2趟排序完之后,数列中a[5…6]是有序的。
- 第3趟排序完之后,数列中a[4…6]是有序的。
- 第4趟排序完之后,数列中a[3…6]是有序的。
- 第5趟排序完之后,数列中a[1…6]是有序的。
第5趟排序之后,整个数列也就是有序的了。
5.3.2. 冒泡排序实现二#
观察上面冒泡排序的流程图,第3趟排序之后,数据已经是有序的了;第4趟和第5趟并没有进行数据交换。
下面我们对冒泡排序进行优化,使它效率更高一些:添加一个标记,如果一趟遍历中发生了交换,则标记为true,否则为false。如果某一趟没有发生交换,说明排序已经完成!
1
2
3
4
5
6
7
8
9
10
11
12
13
14
15
16
17
18
19
20
21
22
23
24
25
26
| public static void bubbleSort2(int[] a, int n) {
int i, j;
// 标记
int flag;
for (i = n - 1; i > 0; i--) {
// 初始化标记为0
flag = 0;
// 将a[0...i]中最大的数据放在末尾
for (j = 0; j < i; j++) {
if (a[j] > a[j + 1]) {
// 交换a[j]和a[j+1]
int tmp = a[j];
a[j] = a[j + 1];
a[j + 1] = tmp;
// 若发生交换,则设标记为1
flag = 1;
}
}
if (flag == 0) {
// 若没发生交换,则说明数列已有序。
break;
}
}
}
|
5.4. 冒泡排序的时间复杂度和稳定性#
冒泡排序时间复杂度
冒泡排序的时间复杂度是O(N2)。
假设被排序的数列中有N个数。遍历一趟的时间复杂度是O(N),需要遍历多少次呢?N-1次!因此,冒泡排序的时间复杂度是O(N2)。
冒泡排序稳定性
冒泡排序是稳定的算法,它满足稳定算法的定义。
算法稳定性 – 假设在数列中存在a[i]=a[j],若在排序之前,a[i]在a[j]前面;并且排序之后,a[i]仍然在a[j]前面。则这个排序算法是稳定的!
5.5. 冒泡排序实现#
5.5.1. 冒泡排序Java实现#
1
2
3
4
5
6
7
8
9
10
11
12
13
14
15
16
17
18
19
20
21
22
23
24
25
26
27
28
29
30
31
32
33
34
35
36
37
38
39
40
41
42
43
44
45
46
47
48
49
50
51
52
53
54
55
56
57
58
59
60
61
62
63
64
65
66
67
68
69
70
71
72
73
74
75
76
77
78
79
80
81
82
83
84
| package com.moon.demo.sort;
/**
* 冒泡排序算法
*/
public class BubbleSort {
/*
* 冒泡排序
*
* 参数说明:
* a -- 待排序的数组
* n -- 数组的长度
*/
public static void bubbleSort1(int[] a, int n) {
int i, j;
for (i = n - 1; i > 0; i--) {
// 将a[0...i]中最大的数据放在末尾
for (j = 0; j < i; j++) {
if (a[j] > a[j + 1]) {
// 交换a[j]和a[j+1]
int tmp = a[j];
a[j] = a[j + 1];
a[j + 1] = tmp;
}
}
}
}
/*
* 冒泡排序(改进版)
*
* 参数说明:
* a -- 待排序的数组
* n -- 数组的长度
*/
public static void bubbleSort2(int[] a, int n) {
int i, j;
// 标记
int flag;
for (i = n - 1; i > 0; i--) {
// 初始化标记为0
flag = 0;
// 将a[0...i]中最大的数据放在末尾
for (j = 0; j < i; j++) {
if (a[j] > a[j + 1]) {
// 交换a[j]和a[j+1]
int tmp = a[j];
a[j] = a[j + 1];
a[j + 1] = tmp;
// 若发生交换,则设标记为1
flag = 1;
}
}
if (flag == 0) {
// 若没发生交换,则说明数列已有序。
break;
}
}
}
public static void main(String[] args) {
int i;
int[] a = {20, 40, 30, 10, 60, 50};
System.out.printf("before sort:");
for (i = 0; i < a.length; i++) {
System.out.printf("%d ", a[i]);
}
System.out.printf("\n");
bubbleSort1(a, a.length);
//bubbleSort2(a, a.length);
System.out.printf("after sort:");
for (i = 0; i < a.length; i++) {
System.out.printf("%d ", a[i]);
}
System.out.printf("\n");
}
}
|
5.5.2. 冒泡排序C实现(了解)#
1
2
3
4
5
6
7
8
9
10
11
12
13
14
15
16
17
18
19
20
21
22
23
24
25
26
27
28
29
30
31
32
33
34
35
36
37
38
39
40
41
42
43
44
45
46
47
48
49
50
51
52
53
54
55
56
57
58
59
60
61
62
63
64
65
66
67
68
69
70
71
72
73
74
75
76
77
78
79
80
81
82
83
| /**
* 冒泡排序:C 语言
*/
#include <stdio.h>
// 数组长度
#define LENGTH(array) ( (sizeof(array)) / (sizeof(array[0])) )
// 交互数值
#define swap(a,b) (a^=b,b^=a,a^=b)
/*
* 冒泡排序
*
* 参数说明:
* a -- 待排序的数组
* n -- 数组的长度
*/
void bubble_sort1(int a[], int n)
{
int i,j;
for (i=n-1; i>0; i--)
{
// 将a[0...i]中最大的数据放在末尾
for (j=0; j<i; j++)
{
if (a[j] > a[j+1])
swap(a[j], a[j+1]);
}
}
}
/*
* 冒泡排序(改进版)
*
* 参数说明:
* a -- 待排序的数组
* n -- 数组的长度
*/
void bubble_sort2(int a[], int n)
{
int i,j;
int flag; // 标记
for (i=n-1; i>0; i--)
{
flag = 0; // 初始化标记为0
// 将a[0...i]中最大的数据放在末尾
for (j=0; j<i; j++)
{
if (a[j] > a[j+1])
{
swap(a[j], a[j+1]);
flag = 1; // 若发生交换,则设标记为1
}
}
if (flag==0)
break; // 若没发生交换,则说明数列已有序。
}
}
void main()
{
int i;
int a[] = {20,40,30,10,60,50};
int ilen = LENGTH(a);
printf("before sort:");
for (i=0; i<ilen; i++)
printf("%d ", a[i]);
printf("\n");
bubble_sort1(a, ilen);
//bubble_sort2(a, ilen);
printf("after sort:");
for (i=0; i<ilen; i++)
printf("%d ", a[i]);
printf("\n");
}
|
5.5.3. 冒泡排序C++实现(了解)#
1
2
3
4
5
6
7
8
9
10
11
12
13
14
15
16
17
18
19
20
21
22
23
24
25
26
27
28
29
30
31
32
33
34
35
36
37
38
39
40
41
42
43
44
45
46
47
48
49
50
51
52
53
54
55
56
57
58
59
60
61
62
63
64
65
66
67
68
69
70
71
72
73
74
75
76
77
78
79
80
81
82
83
84
85
86
87
88
89
90
| **
* 冒泡排序:C++
*/
#include <iostream>
using namespace std;
/*
* 冒泡排序
*
* 参数说明:
* a -- 待排序的数组
* n -- 数组的长度
*/
void bubbleSort1(int* a, int n)
{
int i,j,tmp;
for (i=n-1; i>0; i--)
{
// 将a[0...i]中最大的数据放在末尾
for (j=0; j<i; j++)
{
if (a[j] > a[j+1])
{
// 交换a[j]和a[j+1]
tmp = a[j];
a[j] = a[j+1];
a[j+1] = tmp;
}
}
}
}
/*
* 冒泡排序(改进版)
*
* 参数说明:
* a -- 待排序的数组
* n -- 数组的长度
*/
void bubbleSort2(int* a, int n)
{
int i,j,tmp;
int flag; // 标记
for (i=n-1; i>0; i--)
{
flag = 0; // 初始化标记为0
// 将a[0...i]中最大的数据放在末尾
for (j=0; j<i; j++)
{
if (a[j] > a[j+1])
{
// 交换a[j]和a[j+1]
tmp = a[j];
a[j] = a[j+1];
a[j+1] = tmp;
flag = 1; // 若发生交换,则设标记为1
}
}
if (flag==0)
break; // 若没发生交换,则说明数列已有序。
}
}
int main()
{
int i;
int a[] = {20,40,30,10,60,50};
int ilen = (sizeof(a)) / (sizeof(a[0]));
cout << "before sort:";
for (i=0; i<ilen; i++)
cout << a[i] << " ";
cout << endl;
bubbleSort1(a, ilen);
//bubbleSort2(a, ilen);
cout << "after sort:";
for (i=0; i<ilen; i++)
cout << a[i] << " ";
cout << endl;
return 0;
}
|
上面3种实现的原理和输出结果都是一样的。下面是它们的输出结果:
1
2
| before sort:20 40 30 10 60 50
after sort:10 20 30 40 50 60
|
6. 选择排序#
6.1. 选择排序介绍#
择排序(Selection sort)是一种简单直观的排序算法。
它的基本思想是:首先在未排序的数列中找到最小(or最大)元素,然后将其存放到数列的起始位置;接着,再从剩余未排序的元素中继续寻找最小(or最大)元素,然后放到已排序序列的末尾。以此类推,直到所有元素均排序完毕。
原理:首先在未排序序列中找到最小(大)元素,存放到排序序列的起始位置,然后,再从剩余未排序元素中继续寻找最小(大)元素,然后放到已排序序列的末尾。以此类推,直到所有元素均排序完毕。
6.2. 自己写的选择排序demo#
1
2
3
4
5
6
7
8
9
10
11
12
13
14
15
16
17
18
19
20
| import java.util.Arrays;
public class MoonZero {
public static void main(String[] args) {
int[] arr = { 6, 3, 8, 9, 2, 7 };
System.out.println(Arrays.toString(arr));
// 选择排序
for (int i = 0; i < arr.length - 1; i++) {
for (int j = i+1; j < arr.length; j++) {
// 选择排序如果判断“>”就是升序,“<”就是降序
if (arr[i] > arr[j]) {
int temp = arr[i];
arr[i] = arr[j];
arr[j] = temp;
}
}
}
System.out.println(Arrays.toString(arr));
}
}
|
6.3. 选择排序图文说明#
下面以数列{20,40,30,10,60,50}为例,演示它的选择排序过程(如下图)。

6.3.1. 排序流程#
- 第1趟:i=0。找出a[1…5]中的最小值a[3]=10,然后将a[0]和a[3]互换。 数列变化:20,40,30,10,60,50 – > 10,40,30,20,60,50
- 第2趟:i=1。找出a[2…5]中的最小值a[3]=20,然后将a[1]和a[3]互换。 数列变化:10,40,30,20,60,50 – > 10,20,30,40,60,50
- 第3趟:i=2。找出a[3…5]中的最小值,由于该最小值大于a[2],该趟不做任何处理。
- 第4趟:i=3。找出a[4…5]中的最小值,由于该最小值大于a[3],该趟不做任何处理。
- 第5趟:i=4。交换a[4]和a[5]的数据。 数列变化:10,20,30,40,60,50 – > 10,20,30,40,50,60
6.3.2. 选择排序的时间复杂度和稳定性#
选择排序时间复杂度
选择排序的时间复杂度是O(N2)。
假设被排序的数列中有N个数。遍历一趟的时间复杂度是O(N),需要遍历多少次呢?N-1!因此,选择排序的时间复杂度是O(N2)。
选择排序稳定性
选择排序是稳定的算法,它满足稳定算法的定义。
算法稳定性 – 假设在数列中存在a[i]=a[j],若在排序之前,a[i]在a[j]前面;并且排序之后,a[i]仍然在a[j]前面。则这个排序算法是稳定的!
6.4. 选择排序实现#
6.4.1. 选择排序Java实现#
1
2
3
4
5
6
7
8
9
10
11
12
13
14
15
16
17
18
19
20
21
22
23
24
25
26
27
28
29
30
31
32
33
34
35
36
37
38
39
40
41
42
43
44
45
46
47
48
49
50
51
52
53
54
55
56
| package com.moon.demo.sort;
/**
* 选择排序算法
*/
public class SelectSort {
/*
* 选择排序
*
* 参数说明:
* a -- 待排序的数组
* n -- 数组的长度
*/
public static void selectSort(int[] a, int n) {
int i; // 有序区的末尾位置
int j; // 无序区的起始位置
int min; // 无序区中最小元素位置
for (i = 0; i < n; i++) {
min = i;
// 找出"a[i+1] ... a[n]"之间的最小元素,并赋值给min。
for (j = i + 1; j < n; j++) {
if (a[j] < a[min])
min = j;
}
// 若min!=i,则交换 a[i] 和 a[min]。
// 交换之后,保证了a[0] ... a[i] 之间的元素是有序的。
if (min != i) {
int tmp = a[i];
a[i] = a[min];
a[min] = tmp;
}
}
}
public static void main(String[] args) {
int i;
int[] a = {20, 40, 30, 10, 60, 50};
System.out.printf("before sort:");
for (i = 0; i < a.length; i++) {
System.out.printf("%d ", a[i]);
}
System.out.printf("\n");
selectSort(a, a.length);
System.out.printf("after sort:");
for (i = 0; i < a.length; i++) {
System.out.printf("%d ", a[i]);
}
System.out.printf("\n");
}
}
|
6.4.2. 选择排序C实现(了解)#
1
2
3
4
5
6
7
8
9
10
11
12
13
14
15
16
17
18
19
20
21
22
23
24
25
26
27
28
29
30
31
32
33
34
35
36
37
38
39
40
41
42
43
44
45
46
47
48
49
50
51
52
53
54
55
56
57
58
59
| /**
* 选择排序:C 语言
*/
#include <stdio.h>
// 数组长度
#define LENGTH(array) ( (sizeof(array)) / (sizeof(array[0])) )
#define swap(a,b) (a^=b,b^=a,a^=b)
/*
* 选择排序
*
* 参数说明:
* a -- 待排序的数组
* n -- 数组的长度
*/
void select_sort(int a[], int n)
{
int i; // 有序区的末尾位置
int j; // 无序区的起始位置
int min; // 无序区中最小元素位置
for(i=0; i<n; i++)
{
min=i;
// 找出"a[i+1] ... a[n]"之间的最小元素,并赋值给min。
for(j=i+1; j<n; j++)
{
if(a[j] < a[min])
min=j;
}
// 若min!=i,则交换 a[i] 和 a[min]。
// 交换之后,保证了a[0] ... a[i] 之间的元素是有序的。
if(min != i)
swap(a[i], a[min]);
}
}
void main()
{
int i;
int a[] = {20,40,30,10,60,50};
int ilen = LENGTH(a);
printf("before sort:");
for (i=0; i<ilen; i++)
printf("%d ", a[i]);
printf("\n");
select_sort(a, ilen);
printf("after sort:");
for (i=0; i<ilen; i++)
printf("%d ", a[i]);
printf("\n");
}
|
6.4.3. 选择排序C++实现(了解)#
1
2
3
4
5
6
7
8
9
10
11
12
13
14
15
16
17
18
19
20
21
22
23
24
25
26
27
28
29
30
31
32
33
34
35
36
37
38
39
40
41
42
43
44
45
46
47
48
49
50
51
52
53
54
55
56
57
58
59
60
61
62
| /**
* 选择排序:C++
*/
#include <iostream>
using namespace std;
/*
* 选择排序
*
* 参数说明:
* a -- 待排序的数组
* n -- 数组的长度
*/
void selectSort(int* a, int n)
{
int i; // 有序区的末尾位置
int j; // 无序区的起始位置
int min; // 无序区中最小元素位置
for(i=0; i<n; i++)
{
min=i;
// 找出"a[i+1] ... a[n]"之间的最小元素,并赋值给min。
for(j=i+1; j<n; j++)
{
if(a[j] < a[min])
min=j;
}
// 若min!=i,则交换 a[i] 和 a[min]。
// 交换之后,保证了a[0] ... a[i] 之间的元素是有序的。
if(min != i)
{
int tmp = a[i];
a[i] = a[min];
a[min] = tmp;
}
}
}
int main()
{
int i;
int a[] = {20,40,30,10,60,50};
int ilen = (sizeof(a)) / (sizeof(a[0]));
cout << "before sort:";
for (i=0; i<ilen; i++)
cout << a[i] << " ";
cout << endl;
selectSort(a, ilen);
cout << "after sort:";
for (i=0; i<ilen; i++)
cout << a[i] << " ";
cout << endl;
return 0;
}
|
上面3种实现的原理和输出结果都是一样的。下面是它们的输出结果:
1
2
| before sort:20 40 30 10 60 50
after sort:10 20 30 40 50 60
|
7. 归并排序#
7.1. 基本思想#
归并排序(MERGE-SORT)是利用归并的思想实现的排序方法,该算法采用经典的分治(divide-and-conquer)策略(分治法将问题分(divide)成一些小的问题然后递归求解,而治(conquer)的阶段则将分的阶段得到的各答案"修补"在一起,即分而治之)。
分而治之

可以看到这种结构很像一棵完全二叉树,本文的归并排序我们采用递归去实现(也可采用迭代的方式去实现)。分阶段可以理解为就是递归拆分子序列的过程,递归深度为log2n。
合并相邻有序子序列
再来看看治阶段,我们需要将两个已经有序的子序列合并成一个有序序列,比如上图中的最后一次合并,要将[4,5,7,8]和[1,2,3,6]两个已经有序的子序列,合并为最终序列[1,2,3,4,5,6,7,8],来看下实现步骤。


7.2. 代码实现#
1
2
3
4
5
6
7
8
9
10
11
12
13
14
15
16
17
18
19
20
21
22
23
24
25
26
27
28
29
30
31
32
33
34
35
36
37
38
39
40
41
42
43
44
45
46
47
48
49
50
51
52
53
54
55
56
57
58
59
60
| package com.moon.demo.sort;
import java.util.Arrays;
/**
* 归并排序算法
*/
public class MergeSort {
public static void main(String[] args) {
int[] arr = {9, 8, 7, 6, 5, 4, 3, 2, 1};
sort(arr);
System.out.println(Arrays.toString(arr));
}
public static void sort(int[] arr) {
int[] temp = new int[arr.length];
//在排序前,先建好一个长度等于原数组长度的临时数组,
//避免递归中频繁开辟空间
sort(arr, 0, arr.length - 1, temp);
}
private static void sort(int[] arr, int left, int right, int[] temp) {
if (left < right) {
int mid = (left + right) / 2;
sort(arr, left, mid, temp);
//左边归并排序,使得左子序列有序
sort(arr, mid + 1, right, temp);
//右边归并排序,使得右子序列有序
merge(arr, left, mid, right, temp);
//将两个有序子数组合并操作
}
}
private static void merge(int[] arr, int left, int mid, int right, int[] temp) {
int i = left; //左序列指针
int j = mid + 1; //右序列指针
int t = 0; //临时数组指针
while (i <= mid && j <= right) {
if (arr[i] <= arr[j]) {
temp[t++] = arr[i++];
} else {
temp[t++] = arr[j++];
}
}
while (i <= mid) {
//将左边剩余元素填充进temp中
temp[t++] = arr[i++];
}
while (j <= right) {
//将右序列剩余元素填充进temp中
temp[t++] = arr[j++];
}
t = 0;
//将temp中的元素全部拷贝到原数组中
while (left <= right) {
arr[left++] = temp[t++];
}
}
}
|
执行结果:[1, 2, 3, 4, 5, 6, 7, 8, 9]
最后
归并排序是稳定排序,它也是一种十分高效的排序,能利用完全二叉树特性的排序一般性能都不会太差。java中Arrays.sort()采用了一种名为TimSort的排序算法,就是归并排序的优化版本。从上文的图中可看出,每次合并操作的平均时间复杂度为O(n),而完全二叉树的深度为|log2n|。总的平均时间复杂度为O(nlogn)。而且,归并排序的最好,最坏,平均时间复杂度均为O(nlogn)。
8. 堆排序#
8.1. 堆排序介绍#
堆排序是利用堆这种数据结构而设计的一种排序算法,堆排序是一种选择排序,它的最坏,最好,平均时间复杂度均为O(nlogn),它也是不稳定排序。首先简单了解下堆结构。
堆
堆是具有以下性质的完全二叉树:每个结点的值都大于或等于其左右孩子结点的值,称为大顶堆;或者每个结点的值都小于或等于其左右孩子结点的值,称为小顶堆。如下图:

同时,我们对堆中的结点按层进行编号,将这种逻辑结构映射到数组中就是下面这个样子:

该数组从逻辑上讲就是一个堆结构,我们用简单的公式来描述一下堆的定义就是:
大顶堆:arr[i] >= arr[2i+1] && arr[i] >= arr[2i+2]
小顶堆:arr[i] <= arr[2i+1] && arr[i] <= arr[2i+2]
8.2. 堆排序基本思想及步骤#
堆排序的基本思想是:将待排序序列构造成一个大顶堆,此时,整个序列的最大值就是堆顶的根节点。将其与末尾元素进行交换,此时末尾就为最大值。然后将剩余n-1个元素重新构造成一个堆,这样会得到n个元素的次小值。如此反复执行,便能得到一个有序序列了
步骤一:构造初始堆。将给定无序序列构造成一个大顶堆(一般升序采用大顶堆,降序采用小顶堆)。
- 假设给定无序序列结构如下

- 此时我们从最后一个非叶子结点开始(叶结点自然不用调整,第一个非叶子结点 arr.length/2-1=5/2-1=1,也就是下面的6结点),从左至右,从下至上进行调整。

- 找到第二个非叶节点4,由于[4,9,8]中9元素最大,4和9交换。

这时,交换导致了子根[4,5,6]结构混乱,继续调整,[4,5,6]中6最大,交换4和6。

此时,我们就将一个无需序列构造成了一个大顶堆。
步骤二:将堆顶元素与末尾元素进行交换,使末尾元素最大。然后继续调整堆,再将堆顶元素与末尾元素交换,得到第二大元素。如此反复进行交换、重建、交换。
a. 将堆顶元素9和末尾元素4进行交换

b. 重新调整结构,使其继续满足堆定义

c. 再将堆顶元素8与末尾元素5进行交换,得到第二大元素8

后续过程,继续进行调整,交换,如此反复进行,最终使得整个序列有序

再简单总结下堆排序的基本思路:
- 将无需序列构建成一个堆,根据升序降序需求选择大顶堆或小顶堆;
- 将堆顶元素与末尾元素交换,将最大元素"沉"到数组末端;
- 重新调整结构,使其满足堆定义,然后继续交换堆顶元素与当前末尾元素,反复执行调整+交换步骤,直到整个序列有序。
8.3. 代码实现#
1
2
3
4
5
6
7
8
9
10
11
12
13
14
15
16
17
18
19
20
21
22
23
24
25
26
27
28
29
30
31
32
33
34
35
36
37
38
39
40
41
42
43
44
45
46
47
48
49
50
51
52
53
54
55
56
57
58
59
60
61
62
63
64
65
66
67
68
69
70
71
| package com.moon.demo.sort;
import java.util.Arrays;
/**
* 堆排序算法
*/
public class HeapSort {
public static void main(String[] args) {
int[] arr = {9, 8, 7, 6, 5, 4, 3, 2, 1};
sort(arr);
System.out.println(Arrays.toString(arr));
}
public static void sort(int[] arr) {
// 1.构建大顶堆
for (int i = arr.length / 2 - 1; i >= 0; i--) {
// 从第一个非叶子结点从下至上,从右至左调整结构
adjustHeap(arr, i, arr.length);
}
// 2.调整堆结构+交换堆顶元素与末尾元素
for (int j = arr.length - 1; j > 0; j--) {
// 将堆顶元素与末尾元素进行交换
swap(arr, 0, j);
// 重新对堆进行调整
adjustHeap(arr, 0, j);
}
}
/**
* 调整大顶堆(仅是调整过程,建立在大顶堆已构建的基础上)
*
* @param arr
* @param i
* @param length
*/
public static void adjustHeap(int[] arr, int i, int length) {
int temp = arr[i];//先取出当前元素i
for (int k = i * 2 + 1; k < length; k = k * 2 + 1) {
// 从i结点的左子结点开始,也就是2i+1处开始
if (k + 1 < length && arr[k] < arr[k + 1]) {
// 如果左子结点小于右子结点,k指向右子结点
k++;
}
if (arr[k] > temp) {
// 如果子节点大于父节点,将子节点值赋给父节点(不用进行交换)
arr[i] = arr[k];
i = k;
} else {
break;
}
}
// 将temp值放到最终的位置
arr[i] = temp;
}
/**
* 交换元素
*
* @param arr
* @param a
* @param b
*/
public static void swap(int[] arr, int a, int b) {
int temp = arr[a];
arr[a] = arr[b];
arr[b] = temp;
}
}
|
结果:[1, 2, 3, 4, 5, 6, 7, 8, 9]
最后
堆排序是一种选择排序,整体主要由构建初始堆+交换堆顶元素和末尾元素并重建堆两部分组成。其中构建初始堆经推导复杂度为O(n),在交换并重建堆的过程中,需交换n-1次,而重建堆的过程中,根据完全二叉树的性质,[log2(n-1),log2(n-2)…1]逐步递减,近似为nlogn。所以堆排序时间复杂度一般认为就是O(nlogn)级。
9. 快速排序#
9.1. 快速排序介绍#
9.1.1. 基础原理#
**快速排序(Quick Sort)基本原理是采用分治思想:**选择一个基准数,通过一趟排序将要排序的数据分割成独立的两部分;其中一部分的所有数据都比另外一部分的所有数据都要小。然后,再按此方法对这两部分数据分别进行快速排序,整个排序过程可以递归进行,以此达到整个数据变成有序序列。
9.1.2. 快速排序流程#
- 从数列中挑出一个基准值。
- 将所有比基准值小的摆放在基准前面,所有比基准值大的摆在基准的后面(相同的数可以到任一边);在这个分区退出之后,该基准就处于数列的中间位置。
- 递归地把"基准值前面的子数列"和"基准值后面的子数列"进行排序。
9.1.3. 快速排序图文说明#
下面以数列a={30,40,60,10,20,50}为例,演示它的快速排序过程(如下图)。

上图只是给出了第1趟快速排序的流程。在第1趟中,设置x=a[i],即x=30。
- 从"右 -> 左"查找小于x的数:找到满足条件的数a[j]=20,此时j=4;然后将a[j]赋值a[i],此时i=0;接着从左往右遍历。
- 从"左 -> 右"查找大于x的数:找到满足条件的数a[i]=40,此时i=1;然后将a[i]赋值a[j],此时j=4;接着从右往左遍历。
- 从"右 -> 左"查找小于x的数:找到满足条件的数a[j]=10,此时j=3;然后将a[j]赋值a[i],此时i=1;接着从左往右遍历。
- 从"左 -> 右"查找大于x的数:找到满足条件的数a[i]=60,此时i=2;然后将a[i]赋值a[j],此时j=3;接着从右往左遍历。
- 从"右 -> 左"查找小于x的数:没有找到满足条件的数。当i>=j时,停止查找;然后将x赋值给a[i]。此趟遍历结束!
按照同样的方法,对子数列进行递归遍历。最后得到有序数组!
9.1.4. 快速排序的时间复杂度和稳定性#
快速排序稳定性
快速排序是不稳定的算法,它不满足稳定算法的定义。
算法稳定性:假设在数列中存在a[i]=a[j],若在排序之前,a[i]在a[j]前面;并且排序之后,a[i]仍然在a[j]前面。则这个排序算法是稳定的!
快速排序时间复杂度
快速排序的时间复杂度在最坏情况下是O(N2),平均的时间复杂度是O(N*lgN)。
这句话很好理解:假设被排序的数列中有N个数。遍历一次的时间复杂度是O(N),需要遍历多少次呢?至少lg(N+1)次,最多N次。
- 为什么最少是lg(N+1)次?快速排序是采用的分治法进行遍历的,我们将它看作一棵二叉树,它需要遍历的次数就是二叉树的深度,而根据完全二叉树的定义,它的深度至少是lg(N+1)。因此,快速排序的遍历次数最少是lg(N+1)次。
- 为什么最多是N次?这个应该非常简单,还是将快速排序看作一棵二叉树,它的深度最大是N。因此,快读排序的遍历次数最多是N次。
9.2. 快速排序实现#
9.2.1. 快速排序Java实现#
1
2
3
4
5
6
7
8
9
10
11
12
13
14
15
16
17
18
19
20
21
22
23
24
25
26
27
28
29
30
31
32
33
34
35
36
37
38
39
40
41
42
43
44
45
46
47
48
49
50
51
52
53
54
55
56
57
58
59
60
61
62
63
64
65
66
| package com.moon.demo.sort;
/**
* 快速排序算法
*/
public class QuickSort {
/*
* 快速排序
*
* 参数说明:
* a -- 待排序的数组
* l -- 数组的左边界(例如,从起始位置开始排序,则l=0)
* r -- 数组的右边界(例如,排序截至到数组末尾,则r=a.length-1)
*/
public static void quickSort(int[] a, int l, int r) {
if (l < r) {
int i, j, x;
i = l;
j = r;
x = a[i];
while (i < j) {
while (i < j && a[j] > x) {
// 从右向左找第一个小于x的数
j--;
}
if (i < j) {
a[i++] = a[j];
}
while (i < j && a[i] < x) {
// 从左向右找第一个大于x的数
i++;
}
if (i < j) {
a[j--] = a[i];
}
}
a[i] = x;
/* 递归调用 */
quickSort(a, l, i - 1);
/* 递归调用 */
quickSort(a, i + 1, r);
}
}
public static void main(String[] args) {
int i;
int a[] = {30, 40, 60, 10, 20, 50};
System.out.printf("before sort:");
for (i = 0; i < a.length; i++) {
System.out.printf("%d ", a[i]);
}
System.out.printf("\n");
quickSort(a, 0, a.length - 1);
System.out.printf("after sort:");
for (i = 0; i < a.length; i++) {
System.out.printf("%d ", a[i]);
}
System.out.printf("\n");
}
}
|
9.2.2. 快速排序C实现(了解)#
1
2
3
4
5
6
7
8
9
10
11
12
13
14
15
16
17
18
19
20
21
22
23
24
25
26
27
28
29
30
31
32
33
34
35
36
37
38
39
40
41
42
43
44
45
46
47
48
49
50
51
52
53
54
55
56
57
58
59
60
61
| /**
* 快速排序:C 语言
*/
#include <stdio.h>
// 数组长度
#define LENGTH(array) ( (sizeof(array)) / (sizeof(array[0])) )
/*
* 快速排序
*
* 参数说明:
* a -- 待排序的数组
* l -- 数组的左边界(例如,从起始位置开始排序,则l=0)
* r -- 数组的右边界(例如,排序截至到数组末尾,则r=a.length-1)
*/
void quick_sort(int a[], int l, int r)
{
if (l < r)
{
int i,j,x;
i = l;
j = r;
x = a[i];
while (i < j)
{
while(i < j && a[j] > x)
j--; // 从右向左找第一个小于x的数
if(i < j)
a[i++] = a[j];
while(i < j && a[i] < x)
i++; // 从左向右找第一个大于x的数
if(i < j)
a[j--] = a[i];
}
a[i] = x;
quick_sort(a, l, i-1); /* 递归调用 */
quick_sort(a, i+1, r); /* 递归调用 */
}
}
void main()
{
int i;
int a[] = {30,40,60,10,20,50};
int ilen = LENGTH(a);
printf("before sort:");
for (i=0; i<ilen; i++)
printf("%d ", a[i]);
printf("\n");
quick_sort(a, 0, ilen-1);
printf("after sort:");
for (i=0; i<ilen; i++)
printf("%d ", a[i]);
printf("\n");
}
|
9.2.3. 快速排序C++实现(了解)#
1
2
3
4
5
6
7
8
9
10
11
12
13
14
15
16
17
18
19
20
21
22
23
24
25
26
27
28
29
30
31
32
33
34
35
36
37
38
39
40
41
42
43
44
45
46
47
48
49
50
51
52
53
54
55
56
57
58
59
60
61
| /**
* 快速排序:C++
*/
#include <iostream>
using namespace std;
/*
* 快速排序
*
* 参数说明:
* a -- 待排序的数组
* l -- 数组的左边界(例如,从起始位置开始排序,则l=0)
* r -- 数组的右边界(例如,排序截至到数组末尾,则r=a.length-1)
*/
void quickSort(int* a, int l, int r)
{
if (l < r)
{
int i,j,x;
i = l;
j = r;
x = a[i];
while (i < j)
{
while(i < j && a[j] > x)
j--; // 从右向左找第一个小于x的数
if(i < j)
a[i++] = a[j];
while(i < j && a[i] < x)
i++; // 从左向右找第一个大于x的数
if(i < j)
a[j--] = a[i];
}
a[i] = x;
quickSort(a, l, i-1); /* 递归调用 */
quickSort(a, i+1, r); /* 递归调用 */
}
}
int main()
{
int i;
int a[] = {30,40,60,10,20,50};
int ilen = (sizeof(a)) / (sizeof(a[0]));
cout << "before sort:";
for (i=0; i<ilen; i++)
cout << a[i] << " ";
cout << endl;
quickSort(a, 0, ilen-1);
cout << "after sort:";
for (i=0; i<ilen; i++)
cout << a[i] << " ";
cout << endl;
return 0;
}
|
上面3种语言的实现原理和输出结果都是一样的。下面是它们的输出结果:
1
2
| before sort:30 40 60 10 20 50
after sort:10 20 30 40 50 60
|
10. 直接插入排序#
10.1. 直接插入排序介绍#
直接插入排序(Straight Insertion Sort)的基本思想是:把n个待排序的元素看成为一个有序表和一个无序表。开始时有序表中只包含1个元素,无序表中包含有n-1个元素,排序过程中每次从无序表中取出第一个元素,将它插入到有序表中的适当位置,使之成为新的有序表,重复n-1次可完成排序过程。
10.1.1. 直接插入排序图文说明#
下面选取直接插入排序的一个中间过程对其进行说明。假设{20,30,40,10,60,50}中的前3个数已经排列过,是有序的了;接下来对10进行排列。示意图如下:

图中将数列分为有序区和无序区。我们需要做的工作只有两个:(1)取出无序区中的第1个数,并找出它在有序区对应的位置。(2)将无序区的数据插入到有序区;若有必要的话,则对有序区中的相关数据进行移位。
10.1.2. 直接插入排序的时间复杂度和稳定性#
直接插入排序时间复杂度
直接插入排序的时间复杂度是O(N2)。
假设被排序的数列中有N个数。遍历一趟的时间复杂度是O(N),需要遍历多少次呢?N-1!因此,直接插入排序的时间复杂度是O(N*N)。
直接插入排序稳定性
直接插入排序是稳定的算法,它满足稳定算法的定义。
算法稳定性 – 假设在数列中存在a[i]=a[j],若在排序之前,a[i]在a[j]前面;并且排序之后,a[i]仍然在a[j]前面。则这个排序算法是稳定的!
10.2. 直接插入排序实现#
10.2.1. 直接插入排序Java实现#
1
2
3
4
5
6
7
8
9
10
11
12
13
14
15
16
17
18
19
20
21
22
23
24
25
26
27
28
29
30
31
32
33
34
35
36
37
38
39
40
41
42
43
44
45
46
47
48
49
50
51
52
53
54
55
| package com.moon.demo.sort;
/**
* 直接插入排序算法
*/
public class InsertSort {
/*
* 直接插入排序
*
* 参数说明:
* a -- 待排序的数组
* n -- 数组的长度
*/
public static void insertSort(int[] a, int n) {
int i, j, k;
for (i = 1; i < n; i++) {
// 为a[i]在前面的a[0...i-1]有序区间中找一个合适的位置
for (j = i - 1; j >= 0; j--)
if (a[j] < a[i])
break;
// 如找到了一个合适的位置
if (j != i - 1) {
//将比a[i]大的数据向后移
int temp = a[i];
for (k = i - 1; k > j; k--)
a[k + 1] = a[k];
// 将a[i]放到正确位置上
a[k + 1] = temp;
}
}
}
public static void main(String[] args) {
int i;
int[] a = {20, 40, 30, 10, 60, 50};
System.out.printf("before sort:");
for (i = 0; i < a.length; i++) {
System.out.printf("%d ", a[i]);
}
System.out.printf("\n");
insertSort(a, a.length);
System.out.printf("after sort:");
for (i = 0; i < a.length; i++) {
System.out.printf("%d ", a[i]);
}
System.out.printf("\n");
}
}
|
10.2.2. 直接插入排序C实现(了解)#
1
2
3
4
5
6
7
8
9
10
11
12
13
14
15
16
17
18
19
20
21
22
23
24
25
26
27
28
29
30
31
32
33
34
35
36
37
38
39
40
41
42
43
44
45
46
47
48
49
50
51
52
53
54
55
56
57
58
| /**
* 直接插入排序:C 语言
*/
#include <stdio.h>
// 数组长度
#define LENGTH(array) ( (sizeof(array)) / (sizeof(array[0])) )
/*
* 直接插入排序
*
* 参数说明:
* a -- 待排序的数组
* n -- 数组的长度
*/
void insert_sort(int a[], int n)
{
int i, j, k;
for (i = 1; i < n; i++)
{
//为a[i]在前面的a[0...i-1]有序区间中找一个合适的位置
for (j = i - 1; j >= 0; j--)
if (a[j] < a[i])
break;
//如找到了一个合适的位置
if (j != i - 1)
{
//将比a[i]大的数据向后移
int temp = a[i];
for (k = i - 1; k > j; k--)
a[k + 1] = a[k];
//将a[i]放到正确位置上
a[k + 1] = temp;
}
}
}
void main()
{
int i;
int a[] = {20,40,30,10,60,50};
int ilen = LENGTH(a);
printf("before sort:");
for (i=0; i<ilen; i++)
printf("%d ", a[i]);
printf("\n");
insert_sort(a, ilen);
printf("after sort:");
for (i=0; i<ilen; i++)
printf("%d ", a[i]);
printf("\n");
}
|
10.2.3. 直接插入排序C++实现(了解)#
1
2
3
4
5
6
7
8
9
10
11
12
13
14
15
16
17
18
19
20
21
22
23
24
25
26
27
28
29
30
31
32
33
34
35
36
37
38
39
40
41
42
43
44
45
46
47
48
49
50
51
52
53
54
55
56
57
58
| /**
* 直接插入排序:C++
*/
#include <iostream>
using namespace std;
/*
* 直接插入排序
*
* 参数说明:
* a -- 待排序的数组
* n -- 数组的长度
*/
void insertSort(int* a, int n)
{
int i, j, k;
for (i = 1; i < n; i++)
{
//为a[i]在前面的a[0...i-1]有序区间中找一个合适的位置
for (j = i - 1; j >= 0; j--)
if (a[j] < a[i])
break;
//如找到了一个合适的位置
if (j != i - 1)
{
//将比a[i]大的数据向后移
int temp = a[i];
for (k = i - 1; k > j; k--)
a[k + 1] = a[k];
//将a[i]放到正确位置上
a[k + 1] = temp;
}
}
}
int main()
{
int i;
int a[] = {20,40,30,10,60,50};
int ilen = (sizeof(a)) / (sizeof(a[0]));
cout << "before sort:";
for (i=0; i<ilen; i++)
cout << a[i] << " ";
cout << endl;
insertSort(a, ilen);
cout << "after sort:";
for (i=0; i<ilen; i++)
cout << a[i] << " ";
cout << endl;
return 0;
}
|
上面3种实现的原理和输出结果都是一样的。下面是它们的输出结果:
1
2
| before sort:20 40 30 10 60 50
after sort:10 20 30 40 50 60
|
11. 希尔排序#
11.1. 希尔排序介绍#
希尔(Shell)排序又称为缩小增量排序,它是一种插入排序。它是直接插入排序算法的一种威力加强版。该方法因DL.Shell于1959年提出而得名
希尔排序的基本思想
把记录按步长 gap 分组,对每组记录采用直接插入排序方法进行排序。
随着步长逐渐减小,所分成的组包含的记录越来越多,当步长的值减小到 1 时,整个数据合成为一组,构成一组有序记录,则完成排序。
我们来通过演示图,更深入的理解一下这个过程。

在上面这幅图中:
初始时,有一个大小为 10 的无序序列。
在第一趟排序中,我们不妨设 gap1 = N / 2 = 5,即相隔距离为 5 的元素组成一组,可以分为 5 组。接下来,按照直接插入排序的方法对每个组进行排序。
在第二趟排序中,我们把上次的 gap 缩小一半,即 gap2 = gap1 / 2 = 2 (取整数)。这样每相隔距离为 2 的元素组成一组,可以分为 2 组。按照直接插入排序的方法对每个组进行排序。
在第三趟排序中,再次把 gap 缩小一半,即gap3 = gap2 / 2 = 1。 这样相隔距离为 1 的元素组成一组,即只有一组。按照直接插入排序的方法对每个组进行排序。此时,排序已经结束。
需要注意一下的是,图中有两个相等数值的元素 5 和 5 。我们可以清楚的看到,在排序过程中,两个元素位置交换了。
所以,希尔排序是不稳定的算法。
11.2. 算法分析#
11.2.1. 希尔排序的算法性能#

11.2.2. 时间复杂度#
步长的选择是希尔排序的重要部分。只要最终步长为1任何步长序列都可以工作。
算法最开始以一定的步长进行排序。然后会继续以一定步长进行排序,最终算法以步长为1进行排序。当步长为1时,算法变为插入排序,这就保证了数据一定会被排序。
Donald Shell 最初建议步长选择为N/2并且对步长取半直到步长达到1。虽然这样取可以比O(N2)类的算法(插入排序)更好,但这样仍然有减少平均时间和最差时间的余地。
可能希尔排序最重要的地方在于当用较小步长排序后,以前用的较大步长仍然是有序的。比如,如果一个数列以步长5进行了排序然后再以步长3进行排序,那么该数列不仅是以步长3有序,而且是以步长5有序。如果不是这样,那么算法在迭代过程中会打乱以前的顺序,那就
不会以如此短的时间完成排序了。

已知的最好步长序列是由Sedgewick提出的(1, 5, 19, 41, 109,…),该序列的项来自这两个算式。
这项研究也表明“比较在希尔排序中是最主要的操作,而不是交换。”用这样步长序列的希尔排序比插入排序和堆排序都要快,甚至在小数组中比快速排序还快,但是在涉及大量数据时希尔排序还是比快速排序慢。
11.2.3. 算法稳定性#
由上文的希尔排序算法演示图即可知,希尔排序中相等数据可能会交换位置,所以希尔排序是不稳定的算法。
11.2.4. 直接插入排序和希尔排序的比较#
- 直接插入排序是稳定的;而希尔排序是不稳定的。
- 直接插入排序更适合于原始记录基本有序的集合。
- 希尔排序的比较次数和移动次数都要比直接插入排序少,当N越大时,效果越明显。
- 在希尔排序中,增量序列gap的取法必须满足:最后一个步长必须是1。
- 直接插入排序也适用于链式存储结构;希尔排序不适用于链式结构。
11.3. 代码实现#
1
2
3
4
5
6
7
8
9
10
11
12
13
14
15
16
17
18
19
20
21
22
23
24
25
26
27
28
29
30
31
32
33
34
35
36
37
38
39
40
41
42
43
44
45
46
47
48
49
50
| package com.moon.demo.sort;
/**
* 希尔排序算法
*/
public class ShellSort {
public void shellSort(int[] list) {
int gap = list.length / 2;
while (1 <= gap) {
// 把距离为 gap 的元素编为一个组,扫描所有组
for (int i = gap; i < list.length; i++) {
int j = 0;
int temp = list[i];
// 对距离为 gap 的元素组进行排序
for (j = i - gap; j >= 0 && temp < list[j]; j = j - gap) {
list[j + gap] = list[j];
}
list[j + gap] = temp;
}
System.out.format("gap = %d:\t", gap);
printAll(list);
// 减小增量
gap = gap / 2;
}
}
// 打印完整序列
public void printAll(int[] list) {
for (int value : list) {
System.out.print(value + "\t");
}
System.out.println();
}
public static void main(String[] args) {
int[] array = {9, 1, 2, 5, 7, 4, 8, 6, 3, 5};
// 调用希尔排序方法
ShellSort shell = new ShellSort();
System.out.print("排序前:\t\t");
shell.printAll(array);
shell.shellSort(array);
System.out.print("排序后:\t\t");
shell.printAll(array);
}
}
|
运行结果:
1
2
3
4
5
| 排序前: 9 1 2 5 7 4 8 6 3 5
gap = 5: 4 1 2 3 5 9 8 6 5 7
gap = 2: 2 1 4 3 5 6 5 7 8 9
gap = 1: 1 2 3 4 5 5 6 7 8 9
排序后: 1 2 3 4 5 5 6 7 8 9
|
12. 拓扑排序#
12.1. 拓扑排序介绍#
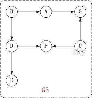
拓扑排序(Topological Order)是指,将一个有向无环图(Directed Acyclic Graph简称DAG)进行排序进而得到一个有序的线性序列。
这样说,可能理解起来比较抽象。下面通过简单的例子进行说明!
例如,一个项目包括A、B、C、D四个子部分来完成,并且A依赖于B和D,C依赖于D。现在要制定一个计划,写出A、B、C、D的执行顺序。这时,就可以利用到拓扑排序,它就是用来确定事物发生的顺序的。
在拓扑排序中,如果存在一条从顶点A到顶点B的路径,那么在排序结果中B出现在A的后面。
12.2. 拓扑排序的算法图解#
12.2.1. 拓扑排序算法的基本步骤#
- 构造一个队列Q(queue) 和 拓扑排序的结果队列T(topological);
- 把所有没有依赖顶点的节点放入Q;
- 当Q还有顶点的时候,执行下面步骤:
- 从Q中取出一个顶点n(将n从Q中删掉),并放入T(将n加入到结果集中);
- 对n每一个邻接点m(n是起点,m是终点);
- 去掉边
<n,m>; - 如果m没有依赖顶点,则把m放入Q;
注:顶点A没有依赖顶点,是指不存在以A为终点的边。

以上图为例,来对拓扑排序进行演示。

第1步:将B和C加入到排序结果中。
顶点B和顶点C都是没有依赖顶点,因此将C和C加入到结果集T中。假设ABCDEFG按顺序存储,因此先访问B,再访问C。访问B之后,去掉边<B,A>和<B,D>,并将A和D加入到队列Q中。同样的,去掉边<C,F>和<C,G>,并将F和G加入到Q中。
- 将B加入到排序结果中,然后去掉边
<B,A>和<B,D>;此时,由于A和D没有依赖顶点,因此并将A和D加入到队列Q中。 - 将C加入到排序结果中,然后去掉边
<C,F>和<C,G>;此时,由于F有依赖顶点D,G有依赖顶点A,因此不对F和G进行处理。
第2步:将A,D依次加入到排序结果中。
第1步访问之后,A,D都是没有依赖顶点的,根据存储顺序,先访问A,然后访问D。访问之后,删除顶点A和顶点D的出边。
第3步:将E,F,G依次加入到排序结果中。
因此访问顺序是:B -> C -> A -> D -> E -> F -> G
12.3. 拓扑排序的代码实现#
拓扑排序是对有向无向图的排序。下面以邻接表实现的有向图来对拓扑排序进行说明。
12.3.1. 基本定义#
1
2
3
4
5
6
7
8
9
10
11
12
13
14
15
16
17
18
19
20
21
22
23
24
25
26
27
| package com.moon.demo.sort;
/**
* 拓扑排序基本定义邻接表对应的结构体
*/
public class ListDG {
// 邻接表中表对应的链表的顶点
private class ENode {
// 该边所指向的顶点的位置
int ivex;
// 指向下一条弧的指针
ENode nextEdge;
}
// 邻接表中表的顶点
private class VNode {
// 顶点信息
char data;
// 指向第一条依附该顶点的弧
ENode firstEdge;
}
// 顶点集合
private List<VNode> mVexs;
......
}
|
- ListDG是邻接表对应的结构体。mVexs则是保存顶点信息的一维数组。
- VNode是邻接表顶点对应的结构体。data是顶点所包含的数据,而firstEdge是该顶点所包含链表的表头指针。
- ENode是邻接表顶点所包含的链表的节点对应的结构体。ivex是该节点所对应的顶点在vexs中的索引,而nextEdge是指向下一个节点的。
12.3.2. 拓扑排序#
1
2
3
4
5
6
7
8
9
10
11
12
13
14
15
16
17
18
19
20
21
22
23
24
25
26
27
28
29
30
31
32
33
34
35
36
37
38
39
40
41
42
43
44
45
46
47
48
49
50
51
52
53
54
55
56
57
58
59
60
61
62
63
64
65
66
67
68
69
70
71
72
73
74
75
76
77
78
79
80
81
82
83
84
85
86
87
88
89
90
91
92
93
94
95
96
97
98
99
100
101
102
103
104
105
106
107
108
| package com.moon.demo.sort;
import java.util.LinkedList;
import java.util.List;
import java.util.Queue;
/**
* 拓扑排序算法
*/
public class ListDG {
// 邻接表中表对应的链表的顶点
private class ENode {
// 该边所指向的顶点的位置
int ivex;
// 指向下一条弧的指针
ENode nextEdge;
}
// 邻接表中表的顶点
private class VNode {
// 顶点信息
char data;
// 指向第一条依附该顶点的弧
ENode firstEdge;
}
// 顶点集合
private List<VNode> mVexs;
/*
* 拓扑排序
*
* 返回值:
* -1 -- 失败(由于内存不足等原因导致)
* 0 -- 成功排序,并输入结果
* 1 -- 失败(该有向图是有环的)
*/
public int topologicalSort() {
int index = 0;
int num = mVexs.size();
// 入度数组
int[] ins;
// 拓扑排序结果数组,记录每个节点的排序后的序号。
char[] tops;
// 辅组队列
Queue<Integer> queue;
ins = new int[num];
tops = new char[num];
queue = new LinkedList<Integer>();
// 统计每个顶点的入度数
for (int i = 0; i < num; i++) {
ENode node = mVexs.get(i).firstEdge;
while (node != null) {
ins[node.ivex]++;
node = node.nextEdge;
}
}
// 将所有入度为0的顶点入队列
for (int i = 0; i < num; i++) {
if (ins[i] == 0) {
// 入队列
queue.offer(i);
}
}
while (!queue.isEmpty()) {
// 队列非空
int j = queue.poll().intValue();
// 出队列。j是顶点的序号
tops[index++] = mVexs.get(j).data;
// 将该顶点添加到tops中,tops是排序结果
ENode node = mVexs.get(j).firstEdge;
// 获取以该顶点为起点的出边队列
// 将与"node"关联的节点的入度减1;
// 若减1之后,该节点的入度为0;则将该节点添加到队列中。
while (node != null) {
// 将节点(序号为node.ivex)的入度减1。
ins[node.ivex]--;
// 若节点的入度为0,则将其"入队列"
if (ins[node.ivex] == 0) {
// 入队列
queue.offer(node.ivex);
}
node = node.nextEdge;
}
}
if (index != num) {
System.out.printf("Graph has a cycle\n");
return 1;
}
// 打印拓扑排序结果
System.out.printf("== TopSort: ");
for (int i = 0; i < num; i++) {
System.out.printf("%c ", tops[i]);
}
System.out.printf("\n");
return 0;
}
}
|
说明:
- queue的作用就是用来存储没有依赖顶点的顶点。它与前面所说的Q相对应。
- tops的作用就是用来存储排序结果。它与前面所说的T相对应。
13. 题外拓展:面试时算法题的解答思路#
面试中纯粹考算法的问题一般是让很多程序员朋友痛恨的,这里分享下我对于解答算法题的一些思路和技巧。
一般关于算法的文章,都是从经典算法讲起,一种一种算法介绍,见得算法多了,自然就有了感悟,但如此学习花费的时间和精力却是过于巨大,也不适合在博客里面交流。这一篇文,却是专门讲快捷思路的,很多人面对算法题的时候几乎是脑子里一片空白,这一篇文章讲的就是从题目下手,把毫无思路的题目打开一个缺口的几种常见技巧。
13.1. (一)由简至繁#
事实上,很多问题确实是很难在第一时间内得到正确的思路的,这时候可以尝试一种由简至繁的思路。首先把问题规模缩小到非常容易解答的地步。
[题目]有足够量的2分、5分、1分硬币,请问凑齐1元钱有多少种方法?
此题乍看上去,只会觉得完全无法入手,但是按照由简至繁的思路,我们可以先考虑极端简单的情况,假如把问题规模缩小成:有足够量的1分硬币,请问凑齐1分钱有多少种方法?毫无疑问,答案是1。
得到这一答案之后,我们可以略微扩大问题的规模: 有足够量的1分硬币,凑齐2分钱有多少种方法?凑齐n分钱有多少种方法?答案仍然是1
接下来,我们可以从另一个角度来扩大问题,有足够量的1分硬币和2分硬币,凑齐n分钱有多少种方法?这时我们手里已经有了有足够量的1分硬币,凑齐任意多钱都只有1种方法,那么只用1分钱凑齐n-2分钱,有1种方法,只用1分钱凑齐n-4分钱,有1种方法,只用1分钱凑齐n-6分钱,有1种方法……
而凑齐这些n-2、n-4、n-6这些钱数,各自补上2分钱,会产生一种新的凑齐n分钱的方法,这些方法的总数+1,就是用1分硬币和2分硬币,凑齐n分钱的方法数了。
在面试时,立刻采用这种思路是一种非常有益的尝试,解决小规模问题可以让你更加熟悉问题,并且慢慢发现问题的特性,最重要的是给你的面试官正面的信号——立即动手分析问题比皱眉冥思苦想看起来好得多。
对于此题而言,我们可以很快发现问题的规模有两个维度:用a1-ak种硬币和凑齐n分钱,所以我们可以记做P(k,n)。当我们发现递归公式 P(k,n) = P(k-1,n - ak) + P(k-1,n - 2*ak) + P(k-1,n - 3*ak) ... ... 时,这个问题已经是迎刃而解了
通常由简至繁的思路,用来解决动态规划问题是非常有效的,当积累了一定量简单问题的解的时候,往往通向更高一层问题的答案已经摆在眼前了。
13.2. (二)一分为二#
另一种思路,就是把问题一刀斩下,把问题分为两半,变成两个与原来问题同构的问题,能把问题一分为2,就能再一分为4,就能再一分为8,直到分成我们容易解决的问题。当尝试这种思路时,其实只需要考虑两个问题:1.一分为二以后,问题是否被简化了? 2.根据一分为二的两个问题的解,能否方便地得出整个问题的解?
[题目]将一个数组排序。
这个经典算法肯定所有人都熟悉的不能再熟悉了,不过若是从头开始思考这个问题,倒也不是所有人都能想出几种经典的排序算法之一的,这里仅仅是用来做例子说明一分为二的思路的应用。
最简单的一分为二,就是将数组分成两半,分别排序。对于两个有序数组,我们有办法将它合并成一个有序数组,所以这个一分为二的思路是可行的,同样对于已经分成两半的数组,我们还可以将这个数组分作两半,直到我们分好的数组仅有1个元素,1个元素的数组天然就是有序的。不难看出,按这种思路我们得出的是经典数组排序算法中的“归并排序”。
还有另一种一分为二的思路,考虑到自然将数组分成两半合并起来比较复杂,我们可以考虑将数组按照大于和小于某个元素分成两半,这样只要分别解决就可以直接连接成一个有序数组了,同样这个问题也是能够再次一分为二。按照这个思路,则可以得出经典数组排序算法中的“快速排序”。
13.3. (三)化虚为实#
这种思路针对的是浮点数有关的特殊问题,因为无论是穷举还是二分,对于浮点数相关的计算问题(尤其是计算几何)都难以启效,所以化虚为实,指的是把有点"虚"的浮点数,用整数来替代。具体做法是,把题目中给出的一些浮点数(不限于浮点数,我们不关心其具体大小的整数也可以)排序,然后用浮点数的序号代替本身来思考问题,等到具体计算时再替换回来。
[题目]已知n个边水平竖直的矩形(用四元组[x1,y1,x2,y2]表示),求它们的总共覆盖面积。
因为坐标可能出现浮点数,所以此题看起来十分繁复(可以实践上面由简至繁和一分为二的思路都基本无效),略一思考,矩形的覆盖关系其实只跟矩形坐标的大小有关,所以我们尝试思考将矩形的所有x值排序,然后用序号代替具体竖直,y值亦然,于是我们得到所有矩形其实处于一个2nx2n的区块当中,这样我们用最简单的穷举办法,可以计算出每一个1x1的格子是否被覆盖住了。至此,只要我们计算面积的时候,把格子的真实长宽换算回来,就已经得到题目的答案了。
以上三种思路,是我平时遇到算法问题的快速思考方向,并非万灵药方,若是不能生效,就要静下心来慢慢思考观察了,考虑到面试的时候基本不会遇到高难度算法题,这几种技巧的命中率应该不会太低,共享给大家,希望有所帮助。